知乎系统给我推荐的问题里,90%以上是关于哪里可以做试管婴儿的。为此,我把已经拿到国家生殖技术牌照的、正规的医疗机构的名单放在这里,请大家对应自己所在地进行查询,防止有病乱投医,防止大家受骗上当!
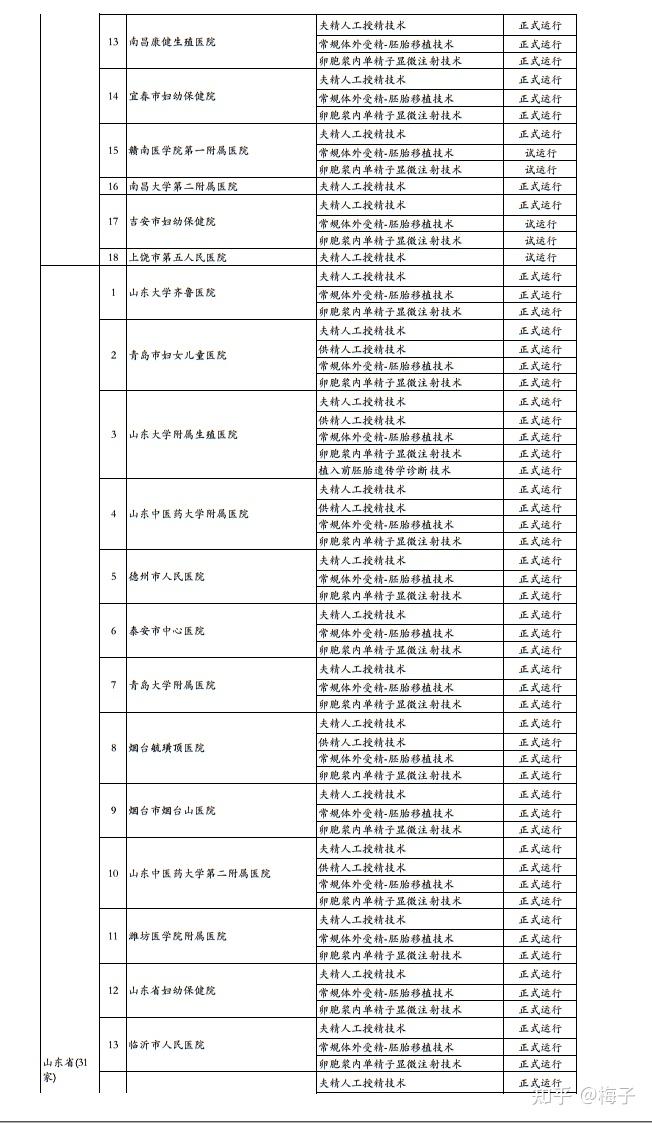
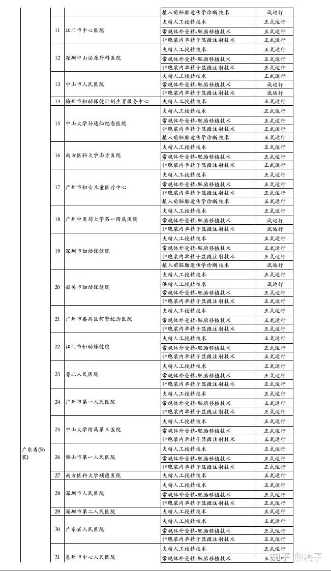
2020年4月21日,中华人民共和国国家卫生健康委在官网公布了 《经批准开展人类辅助生殖技术和设置人类精子库的医疗机构名单》,该名单共包含30个省市自治区,共有523家医疗机构是经批准允许开展人类辅助生殖技术的医疗机构。其中北京市18家,天津市12家,河北省31家,山西省12家,内蒙古自治区8家,辽宁省18家,吉林省9家,黑龙江省10家,上海市19家,江苏省33家,浙江省27家,安徽省14家,福建省15家,江西省18家,山东省31家,河南省31家,湖北省30家,湖南省23家,广东省56家,广西壮族自治区21家,海南省8家,重庆市10家,四川省13家,贵州省13家,云南省17家,西藏自治区1家,陕西省9家,甘肃省4家,青海省2家,宁夏回族自治区2家,新疆维吾尔族自治区8家。
深圳市有8家医院拿到辅助生殖拍照,分别是:北京大学深圳医院、罗湖区人民医院、深圳中山泌尿外科医院、深圳市妇幼保健院、深圳市人民医院、深圳市第二人民医院、香港大学深圳医院、深圳恒生医院。需留意,深圳市第二人民医院目前只开展了“夫精人工授精技术”。

以下为详细表格:





























网友评论
最新评论